IE-HERCL
论文阅读记录
IE-HERCL
- 标题:Image-Enhanced Hybrid Encoding with Reinforced Contrastive Learning for Spatial Domain Identification in Spatial Transcriptomics
- 作者:Central South University
- 发表会议/期刊:IJCAI
- 年份:2025
- 链接:IE-HERCL
主要内容简介
Motivation:
Exisisting methods fail to account for complex interdependencies between modalities.
方法与创新点
- 总体框架:

方法概述:
Multimodal Feature Representation Learning
utilize AE to extract & Loss function L_rec:
$$
L^g_{rec} = | X_{g,i} - f^g_{\theta_d}(f^g_{\theta_e}(X_{g,i})) |^2_F
$$ultilize ResNet50 to extract $Z_{net}$ then use AE:

GraphSAGE encoder:
$$
Z^v_i = \sigma(W_e \cdot \text{Concat}(X_i, \text{Aggregate}({X_j \mid j \in N(i)})))
$$intra-modal attention & cross-modal attention:
Intra-modal attention:
$$
Z_f^g = \alpha_{ae_g} Z_g + \alpha_{gs_g} Z_{gs}^g
$$$$
Z_f^{img} = \alpha_{ae}^{img} Z_{img} + \alpha_{gs_img} Z^{img}_{gs}
$$Cross-modal attention:
$$
Z = \beta_{g} Z^g_f + \beta_{img} Z^{img}_f
$$
Reconstruction:
$$
\hat{X}_{g,i} = \sigma(W_d \cdot \text{Concat}(Z_i, \text{Aggregate}({Z_j \mid j \in N(i)})))
$$$$
L_{rec}^{gene} = | X_{g,i} - \hat{X}_{g,i} |^2_F
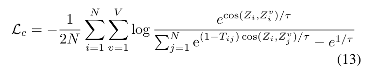
$$Negative Sample Mitigation Strategy in Contrastive Learning
- contrastive loss :


- contrastive loss :
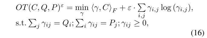
Optimal Transport-Based Representation Optimization
Clustering and Auxiliary Distributions

Optimal Transport Objective


借鉴way博客补充最优传输的思想:

Overall Optimization Objective

实验
- Evaluation Metrics:
- 调整兰德指数(ARI)、标准化互信息(NMI)、调整互信息(AMI)、Fowlkes-Mallows指数(FMI)和同质性评分(HS)









