Bering
论文阅读记录
Bering
- 标题:Bering: joint cell segmentation and annotation for spatial transcriptomics with transferred graph embeddings
- 作者:Harvard University
- 发表会议/期刊:Nature Communications
- 年份:2025
- 链接:Bering
主要内容简介
Motivation:
Some tissues have densely packed cells with unclear boundaries, making it difficult to perform accurate segmentationTask:
Cell segmentation and annotation for spatial transcriptomics
方法与创新点
- 总体框架:

- 方法概述:
图构建,NGC

图卷积和全连接网络

节点分类

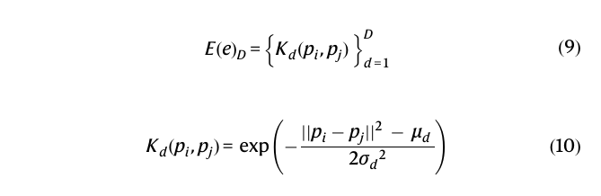
边嵌入由三部分组成
- node representation
- distance kernels($\mu_d, \sigma_d$可学习参数)
- image representation(使用CNN+SPP,边作为对角线图像)
Edge embedding:
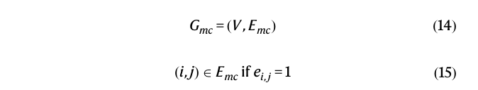
Edge classification(预测边标签,是否同一个细胞内):
聚类算法划分细胞(Leiden算法):
Other details
- cell type annotation details
- transfer learning
- NGC Matrix
- Generation of validation data: FOVs
本博客所有文章除特别声明外,均采用 CC BY-NC-SA 4.0 许可协议。转载请注明来源 小鱼日记!









